Epic deals Galaxy Z Fold7 and Galaxy S25 Ultra
Last updated: April 19th, 2016 at 12:56 UTC+02:00
SamMobile has affiliate and sponsored partnerships, we may earn a commission.
Reading time: 4 minutes
If you want to know what the graphs in this measurement mean, please refer to this post.
First, some basic stuff. The Galaxy A7 sports a 5.5-inch Super AMOLED display with Full HD (1920×1080 pixels) resolution and a pixel density of around 401 PPI. It rocks the infamous Diamond PenTile pixel layout, which you can see in the close-up picture below.
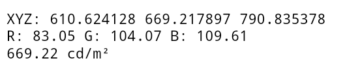
First things first, the screen has a maximum brightness of around 446.61 cd/m2 (nits) in manual brightness setting, and 669.22 cd/m2 in auto brightness. At the dimmest setting, the screen can go as low as 1.94 cd/m2 in auto brightness mode, and as low as 1.96 cd/m2 in manual brightness.
What this means is that this is an excellent screen for this type of phone, and you can read the display easily in bright sunlight and not strain your eyes in dark conditions.
Adaptive Display
When we look at its color gamut and the colors in the sRGB color space, we can conclude that every color misses its target point and the screen is thus oversaturated (a common theme on AMOLED displays). The white point is pretty much off target which you can see in the graph on the right side below. The margin of the displayed primary and secondary colors isn’t that good, with a Delta E error of 7.8 being too high, which is something we see all the time in this screen mode.
The error of the Grayscale color is not too great at 5.4 and the whites are bluish here as well; that is something manufacturers do to make the whites look more white, especially on AMOLED displays. The contrast ratio, however, is unmeasurable so that is extremely good. Blacks are really black, yet when we get to the lighter colors we see that blueish tint popping out as red and green deteriorates. This is something you can see at the color temperature as well, with a temperature of 7601 being too cold (and 6509 is the sweet spot).
As we have said in the past, we aren’t a fan of Adaptive mode (though some of us don’t exactly mind using it), but we have the option of changing it to Basic mode. The basic mode is the closest you can get to a nicely calibrated screen, though the display can look a little dull when you first lay your eyes on this screen mode. In the sRGB color space, it scores great as it hits most of the targets, with the margin of the displayed primary and secondary colors having a Delta E error of 2.4 which is good. The white point is just a little off center, but nothing to serious.

It’s a similar story in grayscale, although we see red popping up a little in the lighter colors, which results in a warmer screen and that is something you can see at the color temperature as well. With a color temperature of 6496, it is a lot closer to 6509, which would be the best score. The margin of color error in Grayscale of Delte E 3.5 is good but not better than other Basic Modes we measured before; for example, the Galaxy A8 had a Delta E of 1.5 in the Grayscale color error. Its contrast here in Basic Mode is unmeasurable as well so that is extremely good.
AMOLED Photo
The mode I always set my screen to is AMOLED Photo, this gives you the punchiness of the Adaptive Display mode without making it feel too much. A funny detail here is that the Grayscale color error is just a tad better than the basic mode. This happened to the A9 as well so I see a trend with the A series displays.
Conclusion
With the Galaxy A9 measurement behind us, we can see that the Galaxy A7 is calibrated almost the same as Samsung's largest Galaxy A device. The phone has a tad sharper display as the pixel density is higher. The brightness levels are at par and contrast levels are great, which is always the case with AMOLED displays. For a higher mid-range phone, the Galaxy A7 (2016) has an excellent screen.